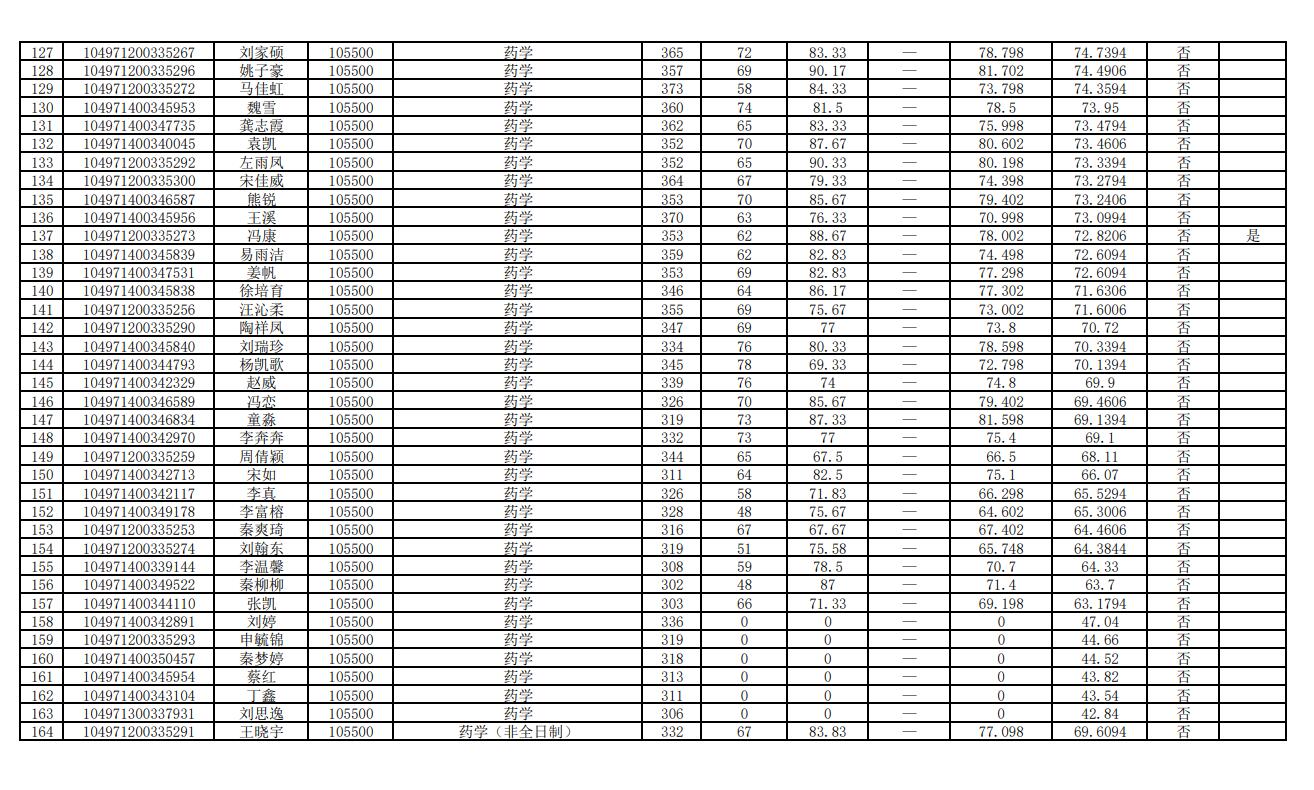
德赢AC米兰官网2021年硕士研究生招生复试成绩公示

发布时间:2021.04.12 16:03
附件下载: